发布(bù)日期:2025-04-21 浏览次数:次(cì)

型号:AY-Z389
价格:电议
品牌:傲(ào)颖
全国热线:13764930908
急性经口毒性测试仪霍恩氏法
一、 仪器介绍(shào)
实验目的:
 急性经口毒性试(shì)验(yàn)是评估受试(shì)物毒性的步。通过短(duǎn)时间经口(kǒu)染毒初步了解受试物的毒性特征和剂量-反应关系(xì),为急性毒性分级、标签管理和其他(tā)毒理学(xué)试验剂量选(xuǎn)择提(tí)供依据。
实验概述
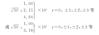
霍恩氏法Horn's method亦称改良维氏法或简化概率(lǜ)单位法(fǎ)。采用几何级数的四个递次(cì)剂量。各个剂量(liàng)组动物数相同,染毒(dú)后根据每组动物的(de)死亡数,从计算表格中查(chá)找受试物的LD.和(hé)95%可信区间。剂量系列递增公(gōng)比为:

因递增公比√10的剂量系列间距(jù)较大,度较差,一般(bān)多采用公比为/10的剂量系(xì)列。本方法计算方便,简单易(yì)行。缺点是(shì)LD…估计值不够,可信区间范围较大。但可初步了解受试物的毒性特点
应用范围
应用于科(kē)研、农业、卫生、教育、雾霾状态可吸入颗粒染毒效果研究等各个领域
符合标准:
GB/T 15670.2-2017部《农药登记毒(dú)理学试验方法第2部分:急性经口毒性(xìng)试验霍恩氏(shì)法》
实验介绍
实验设计方案:
14个剂量组(zǔ)
2每组动物数相等:每组4只或5只
3设计(jì)剂量时可根(gēn)据(jù)化学物致死剂量范围的宽窄应用两个剂量系列,其组距分别为2.15倍和3.16倍。根据每组动物数(shù)、组距和每组动物死亡数,即可(kě)从Horn氏表中查得LD50及其95%可信限
实验优缺点
1使用动物数少;
2可直接从Horn氏(shì)表查出LD50及其(qí)95%可信限,不需计算,甚为(wéi)简便。
3但(dàn)LD50,的95%可信区间范围较大,方法度尚不够。
 
 基本(běn)配置:
主机   一台
电源线 一根
说明书 一本
合格证 一个
保修卡(kǎ) 一个
铭牌   一个
天平:选配


型号:AY-Z389
价格:电议
品牌:傲颖
全国热线:13764930908
急性经口毒性测(cè)试仪霍恩氏法
一、 仪器(qì)介(jiè)绍
实验目的:
 急(jí)性经口毒性试验是评估受试物毒性的步。通过短时间经口染毒初步了解受试物的毒性特征(zhēng)和剂量-反应关(guān)系,为急性毒性分级(jí)、标签管理和(hé)其他毒理学试(shì)验剂量选择提供(gòng)依据。
实验概述
霍(huò)恩氏法Horn's method亦称改良维氏法或简化(huà)概率单位法(fǎ)。采用几何级数的四个递次剂量。各个剂量组动物数相同,染毒后根据每组动(dòng)物的死亡数,从(cóng)计(jì)算表格中查找受试物的LD.和95%可(kě)信区间。剂量(liàng)系列(liè)递增公比为:

因递增公比√10的剂量系列间距(jù)较大,度(dù)较差,一般多采用公比为/10的剂量系列。本方法计(jì)算方便,简单易行。缺点是LD…估计(jì)值不够,可信区间范围较大。但(dàn)可初步了(le)解受试物的毒性特点
应用范围
应用于科(kē)研、农业、卫生、教育、雾霾状态可吸入颗粒染毒效果研究等各个领域
符合标准:
GB/T 15670.2-2017部《农药登记毒理学试验方法第2部分:急性经口毒(dú)性试验霍恩氏法》
实验介绍
实(shí)验设(shè)计方案:
14个剂(jì)量组
2每组动物数相等:每组4只或5只
3设计剂量时可根据化学物致死剂量范围的宽窄应(yīng)用(yòng)两个剂量系列,其组距分(fèn)别为2.15倍和3.16倍。根据每组动物数、组距和(hé)每组动物死亡数,即(jí)可从Horn氏(shì)表中查得LD50及其95%可信限
实验优缺(quē)点
1使(shǐ)用动物数少;
2可直接(jiē)从Horn氏表查出LD50及其95%可信限(xiàn),不需计算,甚为简便。
3但LD50,的95%可(kě)信区间范围较大,方法度尚不够。
 
 基(jī)本配置:
主机   一台
电源线 一(yī)根(gēn)
说明书(shū) 一本
合格证 一个
保修卡 一个
铭牌   一个
天平:选配

客服微信二维码